Realm of all energy, all time
Realm of all energy, all time
Kālacakra | དུས་ཀྱི་འཁོར་ལོ། | Cycles of time
Kālacakra | དུས་ཀྱི་འཁོར་ལོ། | Cycles of time
Hopf fibration | Hypersphere in four-dimensional space | Crown chakra
Hopf fibration | Hypersphere in four-dimensional space | Crown chakra
The undulating field of energy from which all life emanates
The undulating field of energy from which all life emanates
0, 1, 1, 2, 3, 5, 8
0, 1, 1, 2, 3, 5, 8
Tashkīk al-wujūd | تشكيك الوجود | Gradation of existence
Tashkīk al-wujūd | تشكيك الوجود | Gradation of existence
Sri Yantra | Union of Masculine and Feminine
Sri Yantra | Union of Masculine and Feminine
Kālī Yantra | Dark Goddess | Cycle of life/death/life
Kālī Yantra | Dark Goddess | Cycle of life/death/life
What is this power we call Life, appearing as the play of flesh and breath? How may I know this mystery and enter it more deeply?
What is this power we call Life, appearing as the play of flesh and breath? How may I know this mystery and enter it more deeply?
Shiva | शिव | Space | Consciousness | Will
Shiva | शिव | Space | Consciousness | Will
Shakti | शक्त | Energy | Creative Force | Life
Shakti | शक्त | Energy | Creative Force | Life
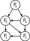
Subproblem graph for the Fibonacci sequence
Subproblem graph for the Fibonacci sequence
Kabbalistic Tree of Life | Sephiroth
Kabbalistic Tree of Life | Sephiroth
Energy changing forms
Energy changing forms
Interconnectivity of all things | Heisenberg uncertainty principle
Interconnectivity of all things | Heisenberg uncertainty principle
Moment of quantum choice, when intention becomes reality
Moment of quantum choice, when intention becomes reality
Hexacosichore | Schlegel diagram | Projection into three-dimensional space
Hexacosichore | Schlegel diagram | Projection into three-dimensional space
Genesis
Genesis
Who am I?
Who am I?
What am I?
What am I?
Why am I here?
Why am I here?
Mayan Calendar | Cycles of time
Mayan Calendar | Cycles of time
Wheel of life
Wheel of life
Precession of the equinoxes | 25,772 year cycles
Precession of the equinoxes | 25,772 year cycles
Biosynthesis of N,N-dimethyltryptamine | Serotonin | Melatonin
Biosynthesis of N,N-dimethyltryptamine | Serotonin | Melatonin
Ahimsa | अहिम्स | Non-violence to self/others
Ahimsa | अहिम्स | Non-violence to self/others
Eternal knot | དཔལ་བེའུ། | Dpal be'u | Everything is interconnected
Eternal knot | དཔལ་བེའུ། | Dpal be'u | Everything is interconnected
Energy conversion | The process of transforming energy from one form into another
Energy conversion | The process of transforming energy from one form into another
Human circuit
Human circuit
Central and peripheral nervous system | Pathways of energy
Central and peripheral nervous system | Pathways of energy
Left/Right Signal Diagnostics | Self-testing for areas of lower connectivity
Left/Right Signal Diagnostics | Self-testing for areas of lower connectivity
Meridians | Test points for connectivity | Pathways of energy
Meridians | Test points for connectivity | Pathways of energy
Electrical grounding | Path of least resistance
Electrical grounding | Path of least resistance
Human electrical resistance
Human electrical resistance
Human cellular voltage
Human cellular voltage
Working principles | Surface-capacitive touchscreen
Working principles | Surface-capacitive touchscreen
Satya | सत् | Being truthful in one's thought, speech and action
Satya | सत् | Being truthful in one's thought, speech and action
Insight gained from nature
Insight gained from nature
Enlightenment under the Bodhi tree
Enlightenment under the Bodhi tree
Thoughts are things
Thoughts are things
Chakras | Self-understanding of the spine
Chakras | Self-understanding of the spine
Creativity | Power cycling | Human circuit
Creativity | Power cycling | Human circuit
Dissipation factor | A measure of loss-rate of energy of a mode of oscillation (mechanical, electrical, or electromechanical)
Dissipation factor | A measure of loss-rate of energy of a mode of oscillation (mechanical, electrical, or electromechanical)
Asteya | अस्तेय | Non-stealing
Asteya | अस्तेय | Non-stealing
Five elements | Hermetic tradition
Five elements | Hermetic tradition
Artificial neural network
Artificial neural network
Mycelium neural network
Mycelium neural network
Quaternion multiplication table
Quaternion multiplication table
Quaternions | Quotient of two vectors | 4th dimension spatial rotation
Quaternions | Quotient of two vectors | 4th dimension spatial rotation
Octonion multiplication table | Hypercomplex number system
Octonion multiplication table | Hypercomplex number system
Octonion multiplication geometry
Octonion multiplication geometry
Anahata chakra
Anahata chakra
Three-dimensional visualization of Euler's formula
Three-dimensional visualization of Euler's formula
Möbius strip | A surface with only one side and only one boundary
Möbius strip | A surface with only one side and only one boundary
Brahmacharya | ब्रह्मचर्य | Appropriate containment of energy
Brahmacharya | ब्रह्मचर्य | Appropriate containment of energy
Kundalini
Kundalini
Awakening
Awakening
Balance
Balance
Union
Union
Harmony
Harmony
Creation
Creation
Aparigraha |अपरिग्रह | Non-possessiveness
Aparigraha |अपरिग्रह | Non-possessiveness
The shapes of life
The shapes of life
A chiral water superstructure surrounding DNA at ambient conditions. This chiral spine of hydration is templated by the helical structure.
A chiral water superstructure surrounding DNA at ambient conditions. This chiral spine of hydration is templated by the helical structure.
Ch'i | Prana | Sum of operators corresponding to the kinetic and potential energies of a system
Ch'i | Prana | Sum of operators corresponding to the kinetic and potential energies of a system
Ajna chakra symbolic diagram
Ajna chakra symbolic diagram
Spinal cord
Spinal cord
Kālī | काली | Freedom from fear
Kālī | काली | Freedom from fear
Judgement
Judgement
Eve
Eve
Goddess of mercy, often depicted as both male and female to show this figure's limitless transcendence beyond gender
Goddess of mercy, often depicted as both male and female to show this figure's limitless transcendence beyond gender
God-Goddess
God-Goddess
Garden of love
Garden of love
Cosmic partnership
Cosmic partnership
Non-binary
Non-binary
Energy flow
Energy flow
Leonardo da Vinci | Study in perpetual motion
Leonardo da Vinci | Study in perpetual motion
Nikola Tesla | Dynamo electric machine
Nikola Tesla | Dynamo electric machine
Tantra | तन्त्र | A loom. Metaphorically, a framework or network of interconnected threads. A system.
Tantra | तन्त्र | A loom. Metaphorically, a framework or network of interconnected threads. A system.
Svatantra | स्वतंत्र | Independence, self-will, freedom, one's own system or school, free, uncontrolled, full grown.
Svatantra | स्वतंत्र | Independence, self-will, freedom, one's own system or school, free, uncontrolled, full grown.
Phonetic language
Phonetic language
Tonal language
Tonal language
Vibrational language
Vibrational language
Symbolic language
Symbolic language
Symbolic language
Symbolic language
2.3 million stones | 0.067 degrees from perfect cardinal alignment
2.3 million stones | 0.067 degrees from perfect cardinal alignment
The base of the Great Pyramid is level to within 2.1cm
The base of the Great Pyramid is level to within 2.1cm
The exterior casing stones of the Great Pyramid are cut to 0.5mm precision
The exterior casing stones of the Great Pyramid are cut to 0.5mm precision
Great Pyramid | King's chamber
Great Pyramid | King's chamber
King's chamber proportions
King's chamber proportions
Electromagnetic properties of the Great Pyramid | Multipole resonances and energy concentration
Electromagnetic properties of the Great Pyramid | Multipole resonances and energy concentration
By tuning the confining wells into resonance, energy is exchanged between the ions at the quantum level, establishing that direct coherent motional coupling is possible for separately trapped ions
By tuning the confining wells into resonance, energy is exchanged between the ions at the quantum level, establishing that direct coherent motional coupling is possible for separately trapped ions
Sacsayhuaman | Precision joinery along curved planes
Sacsayhuaman | Precision joinery along curved planes
Puma Punku | Precision drilling
Puma Punku | Precision drilling
Puma Punku | Square cuts
Puma Punku | Square cuts
Easter Island
Easter Island
Göbekli Tepe | Unknown civilization | 10,000 BCE
Göbekli Tepe | Unknown civilization | 10,000 BCE
Baalbek Trilithion
Baalbek Trilithion
Jain cosmology | Shape of the universe
Jain cosmology | Shape of the universe
Hermetic pyramid | Stages of initiation into the galactic order of being
Hermetic pyramid | Stages of initiation into the galactic order of being
Human skull, viewed from above
Human skull, viewed from above
Scarab symbology
Scarab symbology
Winged serpent symbology | Caduceus
Winged serpent symbology | Caduceus
Caduceus | Winged serpent | Human energy
Caduceus | Winged serpent | Human energy
Chakras as a framework for connectivity diagnostics
Chakras as a framework for connectivity diagnostics
Gnôsis | Knowing thyself
Gnôsis | Knowing thyself
Eye of Horus | Brain self-awareness
Eye of Horus | Brain self-awareness
Optic chiasma side view | Eye of Horus
Optic chiasma side view | Eye of Horus
Spiritual eye | Ajna chakra awareness | Pineal gland vision
Spiritual eye | Ajna chakra awareness | Pineal gland vision
Awareness as energy traveling linearly through space and time
Awareness as energy traveling linearly through space and time
Dimensionally abstracted perception | awareness
Dimensionally abstracted perception | awareness
States of existence | Deep sleep | Dreaming | Waking | Transcendence
States of existence | Deep sleep | Dreaming | Waking | Transcendence
Sitātapatrā | གདུགས་དཀར། | Bodhisattva of protection
Sitātapatrā | གདུགས་དཀར། | Bodhisattva of protection
Everything is relative
Everything is relative
Yogic theory of left-right, masculine-feminine, expressive-receptive duality
Yogic theory of left-right, masculine-feminine, expressive-receptive duality
Asymmetry in distribution of magnetite particles between the right and left hemispheres of the brain
Asymmetry in distribution of magnetite particles between the right and left hemispheres of the brain
The Planck constant is related to the quantization of light and matter. It can be seen as a subatomic-scale constant
The Planck constant is related to the quantization of light and matter. It can be seen as a subatomic-scale constant
Planck length | The size of the weave of the fabric of the universe
Planck length | The size of the weave of the fabric of the universe
With every thought and action we are co-creating reality
With every thought and action we are co-creating reality
Revolution > Evolution > Volition
Revolution > Evolution > Volition
Declaration of interdependence
Declaration of interdependence
We the human beings of earth, united in our intention to create a sustainable and harmonious civilization, recognizing the equality and interconnectedness of all life,
We the human beings of earth, united in our intention to create a sustainable and harmonious civilization, recognizing the equality and interconnectedness of all life,
Alternating current for chakras
Alternating current for chakras
Gimbal system of internal awareness for chakra points
Gimbal system of internal awareness for chakra points
Human potential
Human potential
EarthAI
EarthAI
Corazón
Corazón
Realm of all energy, all time
Realm of all energy, all time
Kālacakra | དུས་ཀྱི་འཁོར་ལོ། | Cycles of time
Kālacakra | དུས་ཀྱི་འཁོར་ལོ། | Cycles of time
Hopf fibration | Hypersphere in four-dimensional space | Crown chakra
Hopf fibration | Hypersphere in four-dimensional space | Crown chakra
The undulating field of energy from which all life emanates
The undulating field of energy from which all life emanates
0, 1, 1, 2, 3, 5, 8
0, 1, 1, 2, 3, 5, 8
Tashkīk al-wujūd | تشكيك الوجود | Gradation of existence
Tashkīk al-wujūd | تشكيك الوجود | Gradation of existence
Sri Yantra | Union of Masculine and Feminine
Sri Yantra | Union of Masculine and Feminine
Kālī Yantra | Dark Goddess | Cycle of life/death/life
Kālī Yantra | Dark Goddess | Cycle of life/death/life
What is this power we call Life, appearing as the play of flesh and breath? How may I know this mystery and enter it more deeply?
What is this power we call Life, appearing as the play of flesh and breath? How may I know this mystery and enter it more deeply?
Shiva | शिव | Space | Consciousness | Will
Shiva | शिव | Space | Consciousness | Will
Shakti | शक्त | Energy | Creative Force | Life
Shakti | शक्त | Energy | Creative Force | Life
Subproblem graph for the Fibonacci sequence
Subproblem graph for the Fibonacci sequence
Kabbalistic Tree of Life | Sephiroth
Kabbalistic Tree of Life | Sephiroth
Energy changing forms
Energy changing forms
Interconnectivity of all things | Heisenberg uncertainty principle
Interconnectivity of all things | Heisenberg uncertainty principle
Moment of quantum choice, when intention becomes reality
Moment of quantum choice, when intention becomes reality
Hexacosichore | Schlegel diagram | Projection into three-dimensional space
Hexacosichore | Schlegel diagram | Projection into three-dimensional space
Genesis
Genesis
Who am I?
Who am I?
What am I?
What am I?
Why am I here?
Why am I here?
Mayan Calendar | Cycles of time
Mayan Calendar | Cycles of time
Wheel of life
Wheel of life
Precession of the equinoxes | 25,772 year cycles
Precession of the equinoxes | 25,772 year cycles
Biosynthesis of N,N-dimethyltryptamine | Serotonin | Melatonin
Biosynthesis of N,N-dimethyltryptamine | Serotonin | Melatonin
Ahimsa | अहिम्स | Non-violence to self/others
Ahimsa | अहिम्स | Non-violence to self/others
Eternal knot | དཔལ་བེའུ། | Dpal be'u | Everything is interconnected
Eternal knot | དཔལ་བེའུ། | Dpal be'u | Everything is interconnected
Energy conversion | The process of transforming energy from one form into another
Energy conversion | The process of transforming energy from one form into another
Human circuit
Human circuit
Central and peripheral nervous system | Pathways of energy
Central and peripheral nervous system | Pathways of energy
Left/Right Signal Diagnostics | Self-testing for areas of lower connectivity
Left/Right Signal Diagnostics | Self-testing for areas of lower connectivity
Meridians | Test points for connectivity | Pathways of energy
Meridians | Test points for connectivity | Pathways of energy
Electrical grounding | Path of least resistance
Electrical grounding | Path of least resistance
Human electrical resistance
Human electrical resistance
Human cellular voltage
Human cellular voltage
Working principles | Surface-capacitive touchscreen
Working principles | Surface-capacitive touchscreen
Satya | सत् | Being truthful in one's thought, speech and action
Satya | सत् | Being truthful in one's thought, speech and action
Insight gained from nature
Insight gained from nature
Enlightenment under the Bodhi tree
Enlightenment under the Bodhi tree
Thoughts are things
Thoughts are things
Chakras | Self-understanding of the spine
Chakras | Self-understanding of the spine
Creativity | Power cycling | Human circuit
Creativity | Power cycling | Human circuit
Dissipation factor | A measure of loss-rate of energy of a mode of oscillation (mechanical, electrical, or electromechanical)
Dissipation factor | A measure of loss-rate of energy of a mode of oscillation (mechanical, electrical, or electromechanical)
Asteya | अस्तेय | Non-stealing
Asteya | अस्तेय | Non-stealing
Five elements | Hermetic tradition
Five elements | Hermetic tradition
Artificial neural network
Artificial neural network
Mycelium neural network
Mycelium neural network
Quaternion multiplication table
Quaternion multiplication table
Quaternions | Quotient of two vectors | 4th dimension spatial rotation
Quaternions | Quotient of two vectors | 4th dimension spatial rotation
Octonion multiplication table | Hypercomplex number system
Octonion multiplication table | Hypercomplex number system
Octonion multiplication geometry
Octonion multiplication geometry
Anahata chakra
Anahata chakra
Three-dimensional visualization of Euler's formula
Three-dimensional visualization of Euler's formula
Möbius strip | A surface with only one side and only one boundary
Möbius strip | A surface with only one side and only one boundary
Brahmacharya | ब्रह्मचर्य | Appropriate containment of energy
Brahmacharya | ब्रह्मचर्य | Appropriate containment of energy
Kundalini
Kundalini
Awakening
Awakening
Balance
Balance
Union
Union
Harmony
Harmony
Creation
Creation
Aparigraha |अपरिग्रह | Non-possessiveness
Aparigraha |अपरिग्रह | Non-possessiveness
The shapes of life
The shapes of life
A chiral water superstructure surrounding DNA at ambient conditions. This chiral spine of hydration is templated by the helical structure.
A chiral water superstructure surrounding DNA at ambient conditions. This chiral spine of hydration is templated by the helical structure.
Ch'i | Prana | Sum of operators corresponding to the kinetic and potential energies of a system
Ch'i | Prana | Sum of operators corresponding to the kinetic and potential energies of a system
Ajna chakra symbolic diagram
Ajna chakra symbolic diagram
Spinal cord
Spinal cord
Kālī | काली | Freedom from fear
Kālī | काली | Freedom from fear
Judgement
Judgement
Eve
Eve
Goddess of mercy, often depicted as both male and female to show this figure's limitless transcendence beyond gender
Goddess of mercy, often depicted as both male and female to show this figure's limitless transcendence beyond gender
God-Goddess
God-Goddess
Garden of love
Garden of love
Cosmic partnership
Cosmic partnership
Non-binary
Non-binary
Energy flow
Energy flow
Leonardo da Vinci | Study in perpetual motion
Leonardo da Vinci | Study in perpetual motion
Nikola Tesla | Dynamo electric machine
Nikola Tesla | Dynamo electric machine
Tantra | तन्त्र | A loom. Metaphorically, a framework or network of interconnected threads. A system.
Tantra | तन्त्र | A loom. Metaphorically, a framework or network of interconnected threads. A system.
Svatantra | स्वतंत्र | Independence, self-will, freedom, one's own system or school, free, uncontrolled, full grown.
Svatantra | स्वतंत्र | Independence, self-will, freedom, one's own system or school, free, uncontrolled, full grown.
Phonetic language
Phonetic language
Tonal language
Tonal language
Vibrational language
Vibrational language
Symbolic language
Symbolic language
Symbolic language
Symbolic language
2.3 million stones | 0.067 degrees from perfect cardinal alignment
2.3 million stones | 0.067 degrees from perfect cardinal alignment
The base of the Great Pyramid is level to within 2.1cm
The base of the Great Pyramid is level to within 2.1cm
The exterior casing stones of the Great Pyramid are cut to 0.5mm precision
The exterior casing stones of the Great Pyramid are cut to 0.5mm precision
Great Pyramid | King's chamber
Great Pyramid | King's chamber
King's chamber proportions
King's chamber proportions
Electromagnetic properties of the Great Pyramid | Multipole resonances and energy concentration
Electromagnetic properties of the Great Pyramid | Multipole resonances and energy concentration
By tuning the confining wells into resonance, energy is exchanged between the ions at the quantum level, establishing that direct coherent motional coupling is possible for separately trapped ions
By tuning the confining wells into resonance, energy is exchanged between the ions at the quantum level, establishing that direct coherent motional coupling is possible for separately trapped ions
Sacsayhuaman | Precision joinery along curved planes
Sacsayhuaman | Precision joinery along curved planes
Puma Punku | Precision drilling
Puma Punku | Precision drilling
Puma Punku | Square cuts
Puma Punku | Square cuts
Easter Island
Easter Island
Göbekli Tepe | Unknown civilization | 10,000 BCE
Göbekli Tepe | Unknown civilization | 10,000 BCE
Baalbek Trilithion
Baalbek Trilithion
Jain cosmology | Shape of the universe
Jain cosmology | Shape of the universe
Hermetic pyramid | Stages of initiation into the galactic order of being
Hermetic pyramid | Stages of initiation into the galactic order of being
Human skull, viewed from above
Human skull, viewed from above
Scarab symbology
Scarab symbology
Winged serpent symbology | Caduceus
Winged serpent symbology | Caduceus
Caduceus | Winged serpent | Human energy
Caduceus | Winged serpent | Human energy
Chakras as a framework for connectivity diagnostics
Chakras as a framework for connectivity diagnostics
Gnôsis | Knowing thyself
Gnôsis | Knowing thyself
Eye of Horus | Brain self-awareness
Eye of Horus | Brain self-awareness
Optic chiasma side view | Eye of Horus
Optic chiasma side view | Eye of Horus
Spiritual eye | Ajna chakra awareness | Pineal gland vision
Spiritual eye | Ajna chakra awareness | Pineal gland vision
Awareness as energy traveling linearly through space and time
Awareness as energy traveling linearly through space and time
Dimensionally abstracted perception | awareness
Dimensionally abstracted perception | awareness
States of existence | Deep sleep | Dreaming | Waking | Transcendence
States of existence | Deep sleep | Dreaming | Waking | Transcendence
Sitātapatrā | གདུགས་དཀར། | Bodhisattva of protection
Sitātapatrā | གདུགས་དཀར། | Bodhisattva of protection
Everything is relative
Everything is relative
Yogic theory of left-right, masculine-feminine, expressive-receptive duality
Yogic theory of left-right, masculine-feminine, expressive-receptive duality
Asymmetry in distribution of magnetite particles between the right and left hemispheres of the brain
Asymmetry in distribution of magnetite particles between the right and left hemispheres of the brain
The Planck constant is related to the quantization of light and matter. It can be seen as a subatomic-scale constant
The Planck constant is related to the quantization of light and matter. It can be seen as a subatomic-scale constant
Planck length | The size of the weave of the fabric of the universe
Planck length | The size of the weave of the fabric of the universe
With every thought and action we are co-creating reality
With every thought and action we are co-creating reality
Revolution > Evolution > Volition
Revolution > Evolution > Volition
Declaration of interdependence
Declaration of interdependence
We the human beings of earth, united in our intention to create a sustainable and harmonious civilization, recognizing the equality and interconnectedness of all life,
We the human beings of earth, united in our intention to create a sustainable and harmonious civilization, recognizing the equality and interconnectedness of all life,
Alternating current for chakras
Alternating current for chakras
Gimbal system of internal awareness for chakra points
Gimbal system of internal awareness for chakra points
Human potential
Human potential
EarthAI
EarthAI
Corazón
Corazón
info
prev / next